第25講 フィボナッチ数列と黄金比
第2話 フィボナッチ数列解答例
解答コード例
Dim a(1000000) As Long
Private Sub CommandButton1_Click()
  a(0) = 1
  Cells(2, 4) = 1
  Cells(2, 5) = a(0)
  a(1) = 1
  Cells(3, 4) = 1
  Cells(3, 5) = a(1)
  f 0
End Sub
Sub f(i As Integer)
  a(i + 2) = a(i + 1) + a(i)
  Cells(4 + i, 4) = i + 3
  Cells(4 + i, 5) = a(i + 2)
  Cells(4 + i, 6) = a(i + 2) / a(i + 1)
  If i < 43 Then f i + 1
End Sub
Private Sub CommandButton2_Click()
  Columns("D:F").Select
  Selection.ClearContents
  Range("A1").Select
End Sub
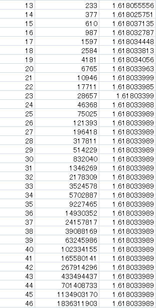
実行画面例
入門
黄金比はjava=1.618033988749895ですから、第25項ではほぼ黄金比になっていることがわかります。
非常に収束の速い数列であることに驚かされます。


第1話へ 第4部第27講第1話へ

004
  


VBA講義第1部へ
vc++講義へ
vb講義へ
VB講義基礎へ
初心者のための世界で一番わかりやすいVisual C++入門基礎講座へ
初心者のための世界で一番わかりやすいVisual Basic入門基礎講座へ

数学研究室に戻る