第5講 もしもボックス=if文の学習
第1話 if文って何?
ドラえもんのツールに『もしもボックス』というのがあります。
もしもボックスに入り『もしも声のない世界だったら』と受話器に向かって話すと、
声のない世界になり、
その代わり吹き出しの出てくる世界になります。
ジャイアンの歌声が聞きたくなくて、
声のない世界を望んだのですが、
吹き出しの世界になっても結局は、
ジャイアンの歌の吹き出しは、
声と同様に不快だったというオチでしたね。
『もしPだったらAである』は、英語では、
If P Then A.
と書きます。
さっきのドラえもんの例に当てはめると、
If 声のない世界 Then 吹き出しの出てくる世界.
ということになります。
Ifが『もし』でThenが『だったら』を意味しているわけです。
このIf文に対応するものがプログラム言語にもあります。
もっともC言語では
if(p)a;
または、
if(p){
a;
b;
・・・
}
と書きます。
C言語では原則小文字で書きます。
このif文があることによって、
プログラミングの世界は、とても豊かに広がることになります。
何故、if文によってプログラミングの世界が広がるのでしょうか。
プログラムというのは、文の順番に上から下に直線的に流れていきます。
つまり、A→B→C→・・・と1次元(直線の世界)の進み方をします。
これをもし性格診断のように分岐させることができれば、
2次元(縦と横の世界)の進み方をすることができます。
つまり、直線の世界から平面の世界へと広がるわけです。

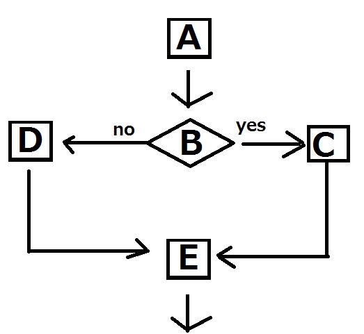
この分岐をさせるための命令文がif文です。
if文を流れ図で表すと

となります。
if(条件式)A;
は命令文がAしかありませんが、
命令文を複数入れることができます。
複数入れるときは、
if(条件式){
A;
B;
C;
・・・
}
とします。
このときは、条件式が正しい(条件式が真であるといいます。)ときは、
複数の命令A,B,C,・・・が実行されることになります。
また、if文には
if(条件式)A; else B;
(A;の後に半角スペースを入れないとエラーします。
また、elseの後にも半角スペースが必要です。
あるいは
if(条件式){A;}else{B;}
でも大丈夫です。
)
というものもあります。
if(条件式)A; のときは条件文が正しくないときは何もしませんでしたが、
今回は、条件文が正しくないときは、命令Bが実行されます。
ですから、
if(条件式)A; else B;
は条件式が真であるときは命令Aが実行され、
偽(正しくない)であるときは命令Bが実行されるのです。
if〜else文の流れ図は、

ということになります。
if〜else文のときも、命令を複数入れることができます。
複数入れるときは、
if(条件式){
A;
B;
C;
・・・
}
else{
P;
Q;
R;
・・・
}
となります。
このときは、条件式が正しいとき命令A,B,C,・・・が、
間違っているときは、命令P,Q,R,・・・が実行されます。
では、簡単なif文のプログラミングを組んでみましょう。
コンソールから(キーボードから)、
国語・社会・数学・理科・英語の5教科の成績を入力し、
合計を計算し、
合計が300点以上なら合格、
300点未満なら不合格、
と表示させるアプリです。

国語の点数をキーボードから入力してください。
85
社会の点数をキーボードから入力してください。
78
数学の点数をキーボードから入力してください。
36
理科の点数をキーボードから入力してください。
25
英語の点数をキーボードから入力してください。
56
合計点=280
不合格
ヒントとして2文だけ書いておきます。
if(g>=300)printf("合格\n");
if(g<300)printf("不合格\n");
gは合計点を計算する変数です。
第4講第8話へ 第2話へ
初心者のための excel 2016 マクロ VBA 入門講義 基礎から応用まで
vc++ c言語 c++ 入門 初心者 基礎から応用まで
eclipse c++ 入門
魔方陣 数独で学ぶ VBA 入門
数独のシンプルな解き方・簡単な解法の研究
VB講義へ
VB講義基礎へ
初心者のための世界で一番わかりやすいVisual C++入門基礎講座
初心者のための世界で一番わかりやすいVisual Basic入門基礎講座
初心者のための世界で一番わかりやすいVBA入門講義(基礎から応用まで)
初心者のための VC++による C言語 C++ 入門 基礎から応用まで第1部
eclipse java 入門
java 入門 サイト 基礎から応用まで
本サイトトップへ